https://c2c.fp.guinfra.com/file/694b285490655dbf85dac53biaUApgMi03

A secure facility designed to safeguard your resources from potential attackers. Upgrading this structure enhances its storage capacity, allowing you to hold more valuables.

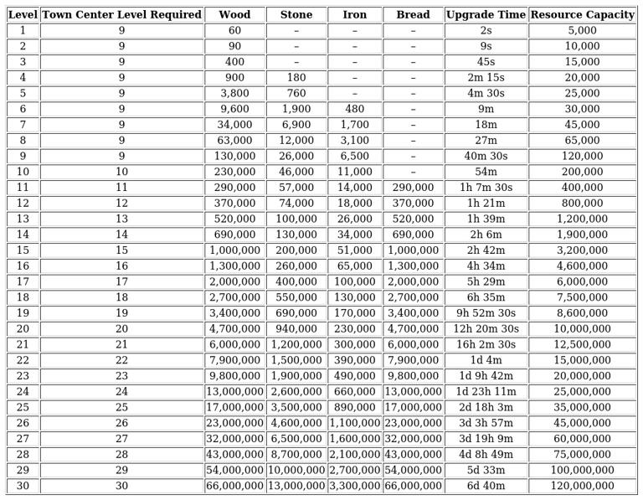
The storehouse becomes accessible once your town center reaches level 9. Its primary function is to shield your unprotected resources, including those obtained through raids, gathered from various sources, or stored directly in your inventory.

https://c2c.fp.guinfra.com/file/694b2858a347071c43033c0fsiui8OGx03

In the game, resources are categorized into two main types: secured and unsecured.

Secured resources are entirely protected from enemy theft; they are safe from being stolen. These are acquired through buildings such as the mill, sawmill, quarry, and iron mine, or as passive offline income.

On the other hand, unsecured resources include items gathered from raids, collected through manual gathering, or stored in your backpack. These are vulnerable and can be stolen if your base comes under attack.

The storehouse serves as a vital safeguard for your unsecured resources, providing protection up to its maximum storage capacity. Resources within this limit remain secure, but any excess beyond the storehouse’s capacity can be targeted and stolen by opponents.

Upgrading the storehouse increases its storage limit, thereby enhancing the safety of your resources and reducing the risk of loss during attacks.

What is Kingshot Currency?

Kingshot Currency refers to the premium in-game resources, such as gems and packs, utilized for enhancing gameplay and advancing your kingshot strategy through faster upgrades and powerful items. You can acquire these currencies by topping up on popular trading platforms like LootBar, which provides secure transactions and discounts for players. These kingshot packs are essential for boosting your Governor Power with items like Hero Shards and Gear Chests, giving you a competitive edge in the game. By investing in this currency, you can streamline your progress and dominate the battlefield more effectively.

Why Top up Kingshot Gems on LootBar.gg?

If players want to top up Kingshot Gem, they may want to consider the lootbar game trading platform for a seamless and reliable experience. LootBar.gg stands out as a trusted source for gamers who wish to buy kingshot gem, offering a secure environment backed by partnerships with leading game developers and support for a wide range of popular titles. The platform features affordable prices, frequent promotions, and various discounts, making it easy for players to maximize their value when purchasing essential Kingshot packs like Hero Shards, Skill Books, Speedups, and Gear Chests.

In addition, LootBar provides multiple payment options such as Visa, debit cards, and digital wallets, ensuring convenience for users from different regions and preferences. With 24/7 customer support and instant delivery, players can resolve any issues quickly and receive their Kingshot Gems without waiting. By choosing LootBar.gg, gamers can enhance their overall experience in Kingshot and accelerate their progress with peace of mind.

Tips of Buying Kingshot Gems and Packs on LootBar.gg

To complete the kingshot top up on the Lootbar trading platform, follow these steps for a smooth transaction.

  1. First, visit the Lootbar.gg official website and make sure to select your preferred language and currency, then log in to your account.
  2. Next, navigate to the Home page and locate the Top-up section, where you will find the kingshot option.
  3. Select the kingshot pack that best suits your needs and click on the Top-up Now button.
  4. Proceed by choosing your desired payment method and click Pay Now to finalize your purchase.
  5. Enter all required information accurately to ensure your kingshot top up is delivered without delay.
  6. If prompted, reach out to customer service and provide a screenshot of the pack you wish to purchase to help with order verification.

https://c2c.fp.guinfra.com/file/6864723daa80ca1167c7241cGAp8gorK03

What is the best Gaming Top-Up Platform?

As a trusted choice for gaming top-up, LootBar offers both top speed and affordability. The platform has earned a reputation as the best platform for gaming recharge, supported by outstanding customer feedback—4.9/5.0 on Trustpilot.